- HOME
- 製品紹介 / インタフェース
- USB
- THCX222R05
THCX222R05

概要
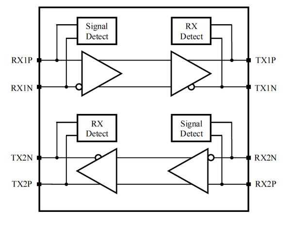
THCX222R05はSLVS-EC,USB3 Vision, USB3.1などの幅広いインターフェースに対応したマルチプロトコル・リドライバ/シグナルコンディショナーです。
THCX222R05に搭載されたリニア・イコライザは、PCBやケーブル上で生じる挿入損失やシンボル間干渉(ISI)によるシグナル・インテグリティの低下を補正し、PCB上の配線設計やケーブル延長を容易にします。
- 2回路/1パッケージ
- イコライゼーション
16段階設定リニア・イコライザ(CTLE)
8段階設定DC(低域)ゲイン - 出力スイング線形領域最大1200mVp-p
- 電源電圧:3.3V
- USB3.1におけるRx/LFPS検出
- パッケージ:QFN30(2.5mm×4.5mm)
- アプリケーション:
SLVS-EC
USB3 Vision
USB3.1 Gen1
本製品に関する技術的なFAQはこちら
資料ダウンロード
-
データシート
-
デザインガイド