- HOME
- 제품 / Interface
- USB
- THCX222R05
THCX222R05
 
개요
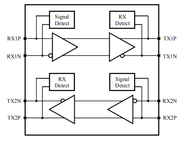
THCX222R05는 V-by-One®HS나 USB3 Vision,PCI Express, SAS/SATA, USB3.1 등의 폭넓은 인터페이스에 대응한 멀티 프로토콜 리드라이버/신호 컨디셔너입니다. 
THCX222R05에 탑재된 Linear Equalizer는, PCB와 케이블 상에서 발생하는 삽입 손실이나 심볼간 간섭(ISI)에 의한 시그널 인테그리티의 저하를 보정하고, PCB 상의 배선 설계나 케이블 연장을 용이하게 합니다.
- 2회로/1패키지
- Equalization
 16단계 설정 Linear Equalizer(CTLE)
 8단계 설정DC(저역) Gain
- 출력 스윙 선형 영역 최대 1200mVp-p
- 전원전압:3.3V
- USB3.1에서의 Rx/LFPS 검출
- 패키지:QFN30(2.5mm×4.5mm)
- 어플리케이션:
 USB3 Vision
 USB3.1 Gen1