- 主頁
- 產品介紹 / Interface
- USB
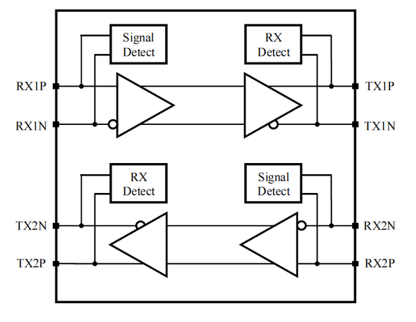
- THCX222R05
THCX222R05

摘要
THCX222R05是一款對應USB3 Vision,USB3.1等多種介面的 muliprotocol redriver訊號調節器。
THCX222R05搭載的Linear equalizer可以修補PCB和配線上產生的插入損耗以及符號間干擾(ISI)帶來的訊號完整性低下,並有助於PCB上的配線設計和線路延長。
- 2個電路/ 1個包裝
- Equalization
16級設定的線性均衡器(CTLE)
8段DC(低頻)增益 - 輸出擺動線性區域最大1200 mVp-p
- 電源電壓:3.3 V
- 在USB 3.1上進行Rx / LFPS檢測
- 封裝:QFN 30(2.5 mm×4.5 mm)
- 應用:
USB3 Vision
USB 3.1 Gen 1